| Id: | TF_ChIP-seq/ENCSR942XQI |
| Type: | position_score |
| Version: | 0 |
| Summary: |
TFChIP-seq ENCSR942XQI [biosamplesummary="Homo sapiens K562 genetically modified (insertion) using CRISPR targeting H. sapiens RAD21" and target="RAD21"] |
| Description: |
status: released biological_replicates: Rep 1, Rep 2 summary: genetically modified (insertion) using CRISPR targeting H. sapiens RAD21 output_type: IDR thresholded peaks audit_internal_action: Released analysis {ENCAN955ICA|/analyses/ENCAN955ICA/} has in progress subobject quality standard {encode4-tf-chip|/quality-standards/encode4-tf-chip/} audit_warning: PBC1 (PCR Bottlenecking Coefficient 1, M1/M_distinct) is the ratio of the number of genomic locations where exactly one read maps uniquely (M1) to the number of genomic locations where some reads map (M_distinct). A PBC1 value in the range 0 - 0.5 is severe bottlenecking, 0.5 - 0.8 is moderate bottlenecking, 0.8 - 0.9 is mild bottlenecking, and > 0.9 is no bottlenecking. PBC1 value > 0.9 is recommended, but > 0.8 is acceptable. ENCODE processed alignments file {ENCFF054GGP|/files/ENCFF054GGP/} processed by ChIP-seq ENCODE4 v1.8.0 GRCh38 pipeline was generated from a library with PBC1 value of 0.85. audit_warning: PBC2 (PCR Bottlenecking Coefficient 2, M1/M2) is the ratio of the number of genomic locations where exactly one read maps uniquely (M1) to the number of genomic locations where two reads map uniquely (M2). A PBC2 value in the range 0 - 1 is severe bottlenecking, 1 - 3 is moderate bottlenecking, 3 - 10 is mild bottlenecking, > 10 is no bottlenecking. PBC2 value > 10 is recommended, but > 3 is acceptable. ENCODE processed alignments file {ENCFF054GGP|/files/ENCFF054GGP/} processed by ChIP-seq ENCODE4 v1.8.0 GRCh38 pipeline was generated from a library with PBC2 value of 6.79. audit_warning: PBC1 (PCR Bottlenecking Coefficient 1, M1/M_distinct) is the ratio of the number of genomic locations where exactly one read maps uniquely (M1) to the number of genomic locations where some reads map (M_distinct). A PBC1 value in the range 0 - 0.5 is severe bottlenecking, 0.5 - 0.8 is moderate bottlenecking, 0.8 - 0.9 is mild bottlenecking, and > 0.9 is no bottlenecking. PBC1 value > 0.9 is recommended, but > 0.8 is acceptable. ENCODE processed alignments file {ENCFF526WVB|/files/ENCFF526WVB/} processed by ChIP-seq ENCODE4 v1.8.0 GRCh38 pipeline was generated from a library with PBC1 value of 0.90. audit_warning: PBC2 (PCR Bottlenecking Coefficient 2, M1/M2) is the ratio of the number of genomic locations where exactly one read maps uniquely (M1) to the number of genomic locations where two reads map uniquely (M2). A PBC2 value in the range 0 - 1 is severe bottlenecking, 1 - 3 is moderate bottlenecking, 3 - 10 is mild bottlenecking, > 10 is no bottlenecking. PBC2 value > 10 is recommended, but > 3 is acceptable. ENCODE processed alignments file {ENCFF526WVB|/files/ENCFF526WVB/} processed by ChIP-seq ENCODE4 v1.8.0 GRCh38 pipeline was generated from a library with PBC2 value of 9.53. |
| Labels: |
|
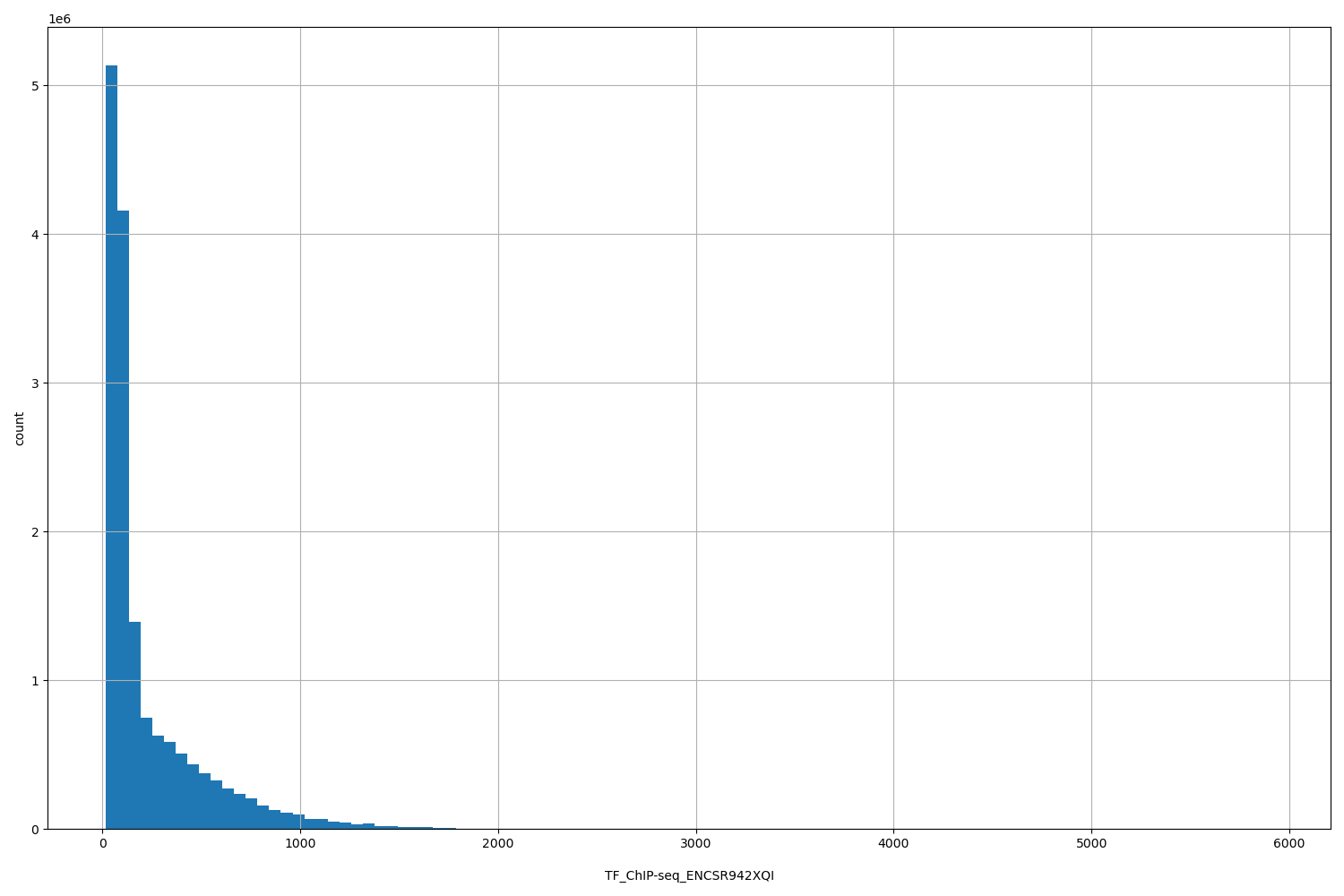
| ID | Type | Default annotation | Description | Histogram | Range |
|---|---|---|---|---|---|
| TF_ChIP-seq_ENCSR942XQI | float |
TF_ChIP-seq_ENCSR942XQI |
TF_ChIP-seq ENCSR942XQI [biosample_summary="Homo sapiens K562 genetically modified (insertion) using CRISPR targeting H. sapiens RAD21" and target="RAD21"]
|
![]() |
[17.1, 5.91e+03] |
| Filename | Size | md5 |
|---|---|---|
| ENCFF330SHG.bed.gz | 913.66 KB | 356a9862fda97a5f8c636305ebd360c0 |
| ENCFF330SHG.bed.gz.dvc | 100.0 B | 05fc3aca91e731f30ad55739ea3e6d95 |
| ENCFF330SHG.tabix.bed.gz | 654.48 KB | 704e472b725a2dc54b235dac8815c415 |
| ENCFF330SHG.tabix.bed.gz.dvc | 106.0 B | 531aa02ecc12f2156a04d8b6bf667e6a |
| ENCFF330SHG.tabix.bed.gz.tbi | 312.41 KB | cbf1ac0ab69c0f1dcf17d92e155156bf |
| ENCFF330SHG.tabix.bed.gz.tbi.dvc | 110.0 B | 30c608dbb683c885155b5834a0a0d147 |
| genomic_resource.yaml | 4.23 KB | 011a267580cb55f60a904cc3200ad528 |
| genomic_resource_original.yaml | 4.07 KB | f1c0b20a749ce464f4cdc5b2a4579918 |
| statistics/ |