| Id: | TF_ChIP-seq/ENCSR000BKP |
| Type: | position_score |
| Version: | 0 |
| Summary: |
TFChIP-seq ENCSR000BKP [biosamplesummary="Homo sapiens H1" and target="JUND"] |
| Description: |
status: released biological_replicates: Rep 1, Rep 2 summary: output_type: optimal IDR thresholded peaks audit_internal_action: Archived analysis {ENCAN554LPI|/analyses/ENCAN554LPI/} has in progress subobject quality standard {encode3-tf-chip|/quality-standards/encode3-tf-chip/} audit_internal_action: File {ENCFF646IUA|/files/ENCFF646IUA/} with status 'released' is derived from file {ENCFF419RSJ|/files/ENCFF419RSJ/} with status 'archived'. audit_not_compliant: NRF (Non Redundant Fraction) is equal to the result of the division of the number of reads after duplicates removal by the total number of reads. An NRF value in the range 0 - 0.5 is poor complexity, 0.5 - 0.8 is moderate complexity, and > 0.8 high complexity. NRF value > 0.8 is recommended, but > 0.5 is acceptable. ENCODE processed alignments file {ENCFF889YQP|/files/ENCFF889YQP/} processed by ChIP-seq ENCODE3 GRCh38 pipeline was generated from a library with NRF value of 0.42. audit_not_compliant: PBC1 (PCR Bottlenecking Coefficient 1, M1/M_distinct) is the ratio of the number of genomic locations where exactly one read maps uniquely (M1) to the number of genomic locations where some reads map (M_distinct). A PBC1 value in the range 0 - 0.5 is severe bottlenecking, 0.5 - 0.8 is moderate bottlenecking, 0.8 - 0.9 is mild bottlenecking, and > 0.9 is no bottlenecking. PBC1 value > 0.9 is recommended, but > 0.8 is acceptable. ENCODE processed alignments file {ENCFF889YQP|/files/ENCFF889YQP/} processed by ChIP-seq ENCODE3 GRCh38 pipeline was generated from a library with PBC1 value of 0.36. audit_warning: Processed alignments file {ENCFF015LMA|/files/ENCFF015LMA/} processed by ChIP-seq ENCODE3 GRCh38 pipeline has 16435842 usable fragments. The minimum ENCODE standard for each replicate in a ChIP-seq experiment targeting JUND-human and investigated as a transcription factor is 10 million usable fragments. The recommended value is > 20 million, but > 10 million is acceptable. (See {ENCODE ChIP-seq data standards|/data-standards/chip-seq/} ) audit_warning: Processed alignments file {ENCFF889YQP|/files/ENCFF889YQP/} processed by ChIP-seq ENCODE3 GRCh38 pipeline has 15887733 usable fragments. The minimum ENCODE standard for each replicate in a ChIP-seq experiment targeting JUND-human and investigated as a transcription factor is 10 million usable fragments. The recommended value is > 20 million, but > 10 million is acceptable. (See {ENCODE ChIP-seq data standards|/data-standards/chip-seq/} ) audit_warning: PBC1 (PCR Bottlenecking Coefficient 1, M1/M_distinct) is the ratio of the number of genomic locations where exactly one read maps uniquely (M1) to the number of genomic locations where some reads map (M_distinct). A PBC1 value in the range 0 - 0.5 is severe bottlenecking, 0.5 - 0.8 is moderate bottlenecking, 0.8 - 0.9 is mild bottlenecking, and > 0.9 is no bottlenecking. PBC1 value > 0.9 is recommended, but > 0.8 is acceptable. ENCODE processed alignments file {ENCFF015LMA|/files/ENCFF015LMA/} processed by ChIP-seq ENCODE3 GRCh38 pipeline was generated from a library with PBC1 value of 0.86. audit_warning: PBC2 (PCR Bottlenecking Coefficient 2, M1/M2) is the ratio of the number of genomic locations where exactly one read maps uniquely (M1) to the number of genomic locations where two reads map uniquely (M2). A PBC2 value in the range 0 - 1 is severe bottlenecking, 1 - 3 is moderate bottlenecking, 3 - 10 is mild bottlenecking, > 10 is no bottlenecking. PBC2 value > 10 is recommended, but > 3 is acceptable. ENCODE processed alignments file {ENCFF015LMA|/files/ENCFF015LMA/} processed by ChIP-seq ENCODE3 GRCh38 pipeline was generated from a library with PBC2 value of 6.92. audit_warning: PBC2 (PCR Bottlenecking Coefficient 2, M1/M2) is the ratio of the number of genomic locations where exactly one read maps uniquely (M1) to the number of genomic locations where two reads map uniquely (M2). A PBC2 value in the range 0 - 1 is severe bottlenecking, 1 - 3 is moderate bottlenecking, 3 - 10 is mild bottlenecking, > 10 is no bottlenecking. PBC2 value > 10 is recommended, but > 3 is acceptable. ENCODE processed alignments file {ENCFF889YQP|/files/ENCFF889YQP/} processed by ChIP-seq ENCODE3 GRCh38 pipeline was generated from a library with PBC2 value of 1.36. audit_warning: Replicate concordance in ChIP-seq experiments is measured by calculating IDR values (Irreproducible Discovery Rate). ENCODE processed IDR thresholded peaks files {ENCFF476DXW|/files/ENCFF476DXW/}, {ENCFF050FWD|/files/ENCFF050FWD/} processed by ChIP-seq ENCODE3 GRCh38 pipeline have a rescue ratio of 1.56 and a self consistency ratio of 2.49. According to ENCODE standards, having both rescue ratio and self consistency ratio values < 2 is recommended, but having only one of the ratio values < 2 is acceptable. audit_warning: Replicate concordance in ChIP-seq experiments is measured by calculating IDR values (Irreproducible Discovery Rate). ENCODE processed IDR thresholded peaks files {ENCFF646IUA|/files/ENCFF646IUA/}, {ENCFF093TYW|/files/ENCFF093TYW/} processed by ChIP-seq ENCODE3 GRCh38 pipeline have a rescue ratio of 1.56 and a self consistency ratio of 2.49. According to ENCODE standards, having both rescue ratio and self consistency ratio values < 2 is recommended, but having only one of the ratio values < 2 is acceptable. |
| Labels: |
|
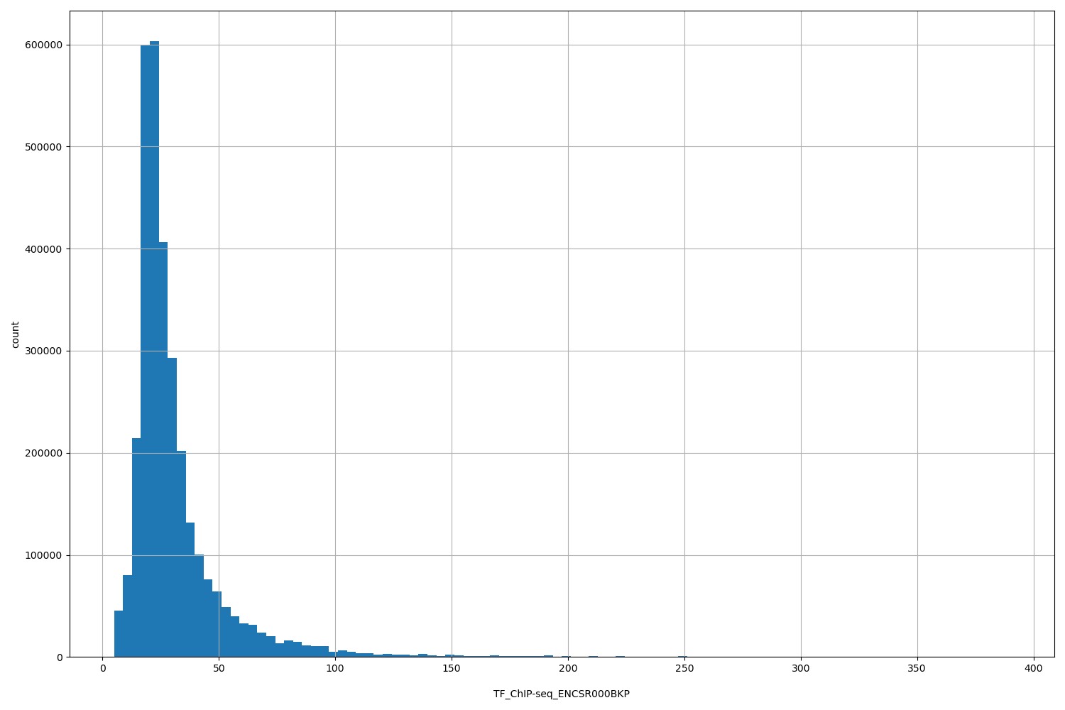
| ID | Type | Default annotation | Description | Histogram | Range |
|---|---|---|---|---|---|
| TF_ChIP-seq_ENCSR000BKP | float |
TF_ChIP-seq_ENCSR000BKP |
TF_ChIP-seq ENCSR000BKP [biosample_summary="Homo sapiens H1" and target="JUND"]
|
![]() |
[4.93, 390] |
| Filename | Size | md5 |
|---|---|---|
| ENCFF646IUA.bed.gz | 242.58 KB | 4e5987a810e7796cf5e42c219da30108 |
| ENCFF646IUA.bed.gz.dvc | 100.0 B | 651ff3390a55e0016d7bc081e0f71944 |
| ENCFF646IUA.tabix.bed.gz | 159.69 KB | e6db6751014334199688c7ca19f6be9d |
| ENCFF646IUA.tabix.bed.gz.dvc | 106.0 B | 13c2fd2bc812317eb12d06dbb51fef15 |
| ENCFF646IUA.tabix.bed.gz.tbi | 102.59 KB | 0c6142fec41bcf1f760e962c19f1d893 |
| ENCFF646IUA.tabix.bed.gz.tbi.dvc | 110.0 B | 49e750522f1fa23caa183f8653164564 |
| genomic_resource.yaml | 6.8 KB | 16ab26fc2be55d566ff7a04ec9b7177e |
| genomic_resource_original.yaml | 6.71 KB | 84dd2684f94295fd4d925867320a9ce7 |
| statistics/ |