Resource

Id: DNase-seq/ENCSR628NEA
Type: position_score
Version: 0
Summary:
Description:
Labels:
  • reference_genome: hg38/genomes/GRCh38-hg38
  • accession: ENCSR628NEA
  • status: released
  • assay_term_name: DNase-seq
  • simple_biosample_summary: male adult (45 years)
  • biosample_summary: Homo sapiens right lobe of liver tissue male adult (45 years)
  • replication_type: unreplicated
  • biosample_ontology: /biosample-types/tissue_UBERON_0001114/
  • perturbed: False
  • doi: 10.17989/ENCSR628NEA
  • date_created: 2019-11-01T20:42:43.420459+00:00
  • date_released: 2020-10-02
  • submitter_comment:

Scores

ID Type Default annotation Description Histogram Range
DNase-seq_ENCSR628NEA float

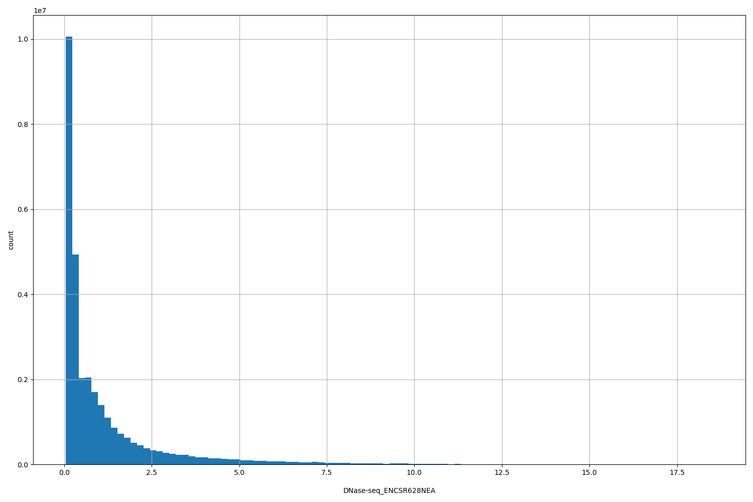
DNase-seq_ENCSR628NEA

DNase-seq ENCSR628NEA [biosample_summary="Homo sapiens right lobe of liver tissue male adult (45 years)"]
HISTOGRAM FOR DNase-seq_ENCSR628NEA [0.0413, 18.5]

Files

Filename Size md5
ENCFF096WOZ.bed.gz 1.57 MB a6cf029895637304bc62b7eddee51c43
ENCFF096WOZ.bed.gz.dvc 101.0 B 0c60050f66dcb29687a07595126aead8
ENCFF096WOZ.tabix.bed.gz 1.47 MB 00fdcd625a269ed346d9c54fc79c4a25
ENCFF096WOZ.tabix.bed.gz.dvc 107.0 B 9a13ce873c4ecc92f1c26b6c28761bf6
ENCFF096WOZ.tabix.bed.gz.tbi 353.39 KB 3e456ca38c91a21022864155d035ebf3
ENCFF096WOZ.tabix.bed.gz.tbi.dvc 110.0 B 6dd1d7fccb7e39c75fae825732eb566e
genomic_resource.yaml 1.24 KB 5aba34d34b845ab13e68425c2024860b
genomic_resource_original.yaml 1.13 KB 6053bb9e9983d1a24eeaf30b791acf39
statistics/