Resource

Id: DNase-seq/ENCSR314EZY
Type: position_score
Version: 0
Summary:
Description:
Labels:
  • reference_genome: hg38/genomes/GRCh38-hg38
  • accession: ENCSR314EZY
  • status: released
  • assay_term_name: DNase-seq
  • simple_biosample_summary:
  • biosample_summary: Homo sapiens L1-S8
  • replication_type: isogenic
  • biosample_ontology: /biosample-types/cell_line_EFO_0007599/
  • perturbed: False
  • doi: 10.17989/ENCSR314EZY
  • date_created: 2016-03-31T17:53:35.161544+00:00
  • date_released: 2016-05-11
  • submitter_comment:

Scores

ID Type Default annotation Description Histogram Range
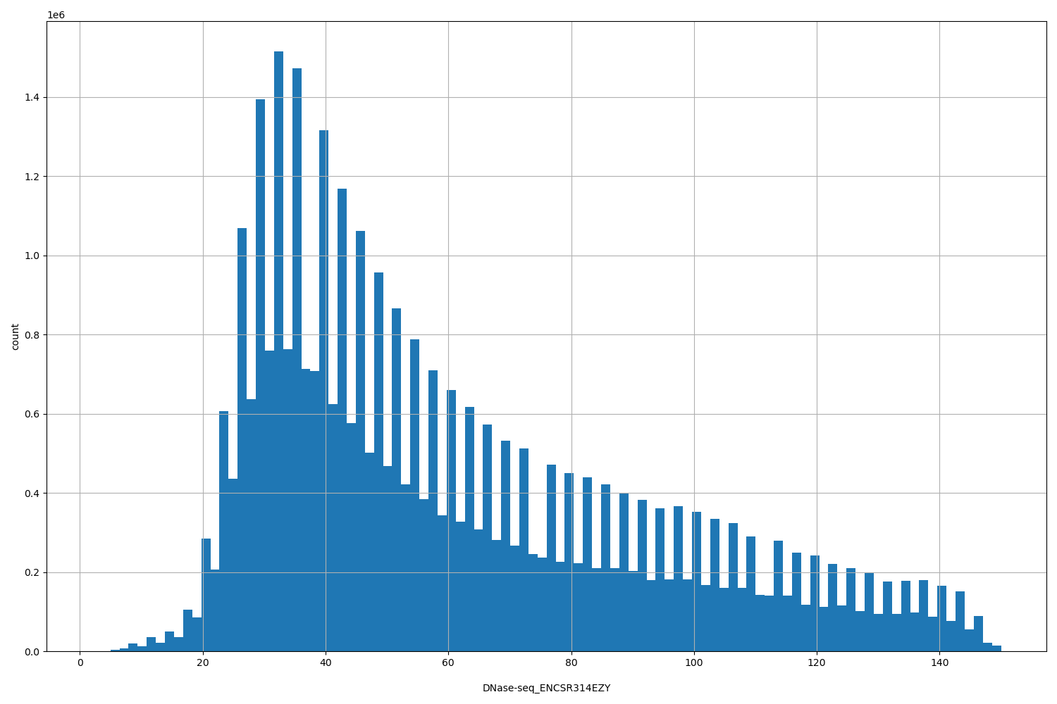
DNase-seq_ENCSR314EZY float

DNase-seq_ENCSR314EZY

DNase-seq ENCSR314EZY [biosample_summary="Homo sapiens L1-S8"]
HISTOGRAM FOR DNase-seq_ENCSR314EZY [2, 150]

Files

Filename Size md5
ENCFF870CIR.bed.gz 2.16 MB 9bc5a01b11f4f73f17a465927f94d58b
ENCFF870CIR.bed.gz.dvc 101.0 B 97e12cf69a2e46e3182f1055e7c0e870
ENCFF870CIR.tabix.bed.gz 1.97 MB e3169851d81ae9733efa30ae5b184374
ENCFF870CIR.tabix.bed.gz.dvc 107.0 B ceebc1f1b6722ddcf5452a8aeade0339
ENCFF870CIR.tabix.bed.gz.tbi 718.88 KB 69f4e33ff9411538c077d2e60eed2619
ENCFF870CIR.tabix.bed.gz.tbi.dvc 110.0 B 70f3186d04523d95a67696e105369d60
genomic_resource.yaml 1.06 KB 49980c4a244191ef99d8b4db11eaca19
genomic_resource_original.yaml 1020.0 B f996fae03d08a2f40ec27507a53f9872
statistics/