Resource

Id: DNase-seq/ENCSR294DND
Type: position_score
Version: 0
Summary:
Description:
Labels:
  • reference_genome: hg38/genomes/GRCh38-hg38
  • accession: ENCSR294DND
  • status: released
  • assay_term_name: DNase-seq
  • simple_biosample_summary: male adult (38 years) treated with anti-CD3 and anti-CD28 coated beads for 48 hours, 100 ng/mL Interleukin-4 for 48 hours
  • biosample_summary: Homo sapiens stimulated activated CD8-positive, alpha-beta memory T cell male adult (38 years) treated with anti-CD3 and anti-CD28 coated beads for 48 hours, 100 ng/mL Interleukin-4 for 48 hours
  • replication_type: unreplicated
  • biosample_ontology: /biosample-types/primary_cell_NTR_0000669/
  • perturbed: False
  • doi: 10.17989/ENCSR294DND
  • date_created: 2020-04-20T23:45:34.945149+00:00
  • date_released: 2020-09-28
  • submitter_comment:

Scores

ID Type Default annotation Description Histogram Range
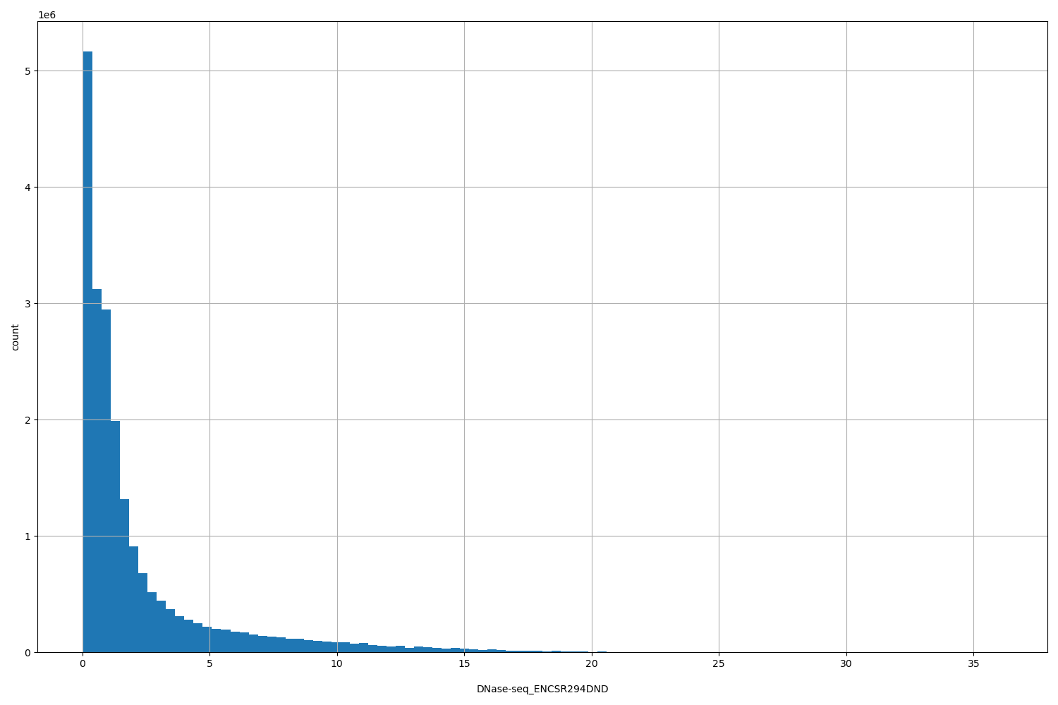
DNase-seq_ENCSR294DND float

DNase-seq_ENCSR294DND

DNase-seq ENCSR294DND [biosample_summary="Homo sapiens stimulated activated CD8-positive, alpha-beta memory T cell male adult (38 years) treated with anti-CD3 and anti-CD28 coated beads for 48 hours, 100 ng/mL Interleukin-4 for 48 hours"]
HISTOGRAM FOR DNase-seq_ENCSR294DND [0.0465, 36.1]

Files

Filename Size md5
ENCFF432NVH.bed.gz 1.14 MB 2b2661f54997af1c105d0a6202c50a13
ENCFF432NVH.bed.gz.dvc 101.0 B 21c48bb4d4dc43b80caae70f4dd0dcc5
ENCFF432NVH.tabix.bed.gz 1.05 MB 0e0888adb27b61844d7734a0e01b8fe9
ENCFF432NVH.tabix.bed.gz.dvc 107.0 B f8d0e041527738c6bd269062aef1fc34
ENCFF432NVH.tabix.bed.gz.tbi 320.57 KB 773356fd8ffbcff32709cee3e730d89b
ENCFF432NVH.tabix.bed.gz.tbi.dvc 110.0 B 8df0cd2118750e5bed549ba83df55997
genomic_resource.yaml 1.85 KB aef89a3c4559cdead3f0ef8a00684aaa
genomic_resource_original.yaml 1.61 KB 405889d79e4006401ac1117def3176f7
statistics/