Resource

Id: DNase-seq/ENCSR101RCL
Type: position_score
Version: 0
Summary:
Description:
Labels:
  • reference_genome: hg38/genomes/GRCh38-hg38
  • accession: ENCSR101RCL
  • status: released
  • assay_term_name: DNase-seq
  • simple_biosample_summary: male adult (43 years)
  • biosample_summary: Homo sapiens T-cell male adult (43 years)
  • replication_type: unreplicated
  • biosample_ontology: /biosample-types/primary_cell_CL_0000084/
  • perturbed: False
  • doi: 10.17989/ENCSR101RCL
  • date_created: 2022-11-01T18:14:35.910543+00:00
  • date_released: 2023-01-27
  • submitter_comment:

Scores

ID Type Default annotation Description Histogram Range
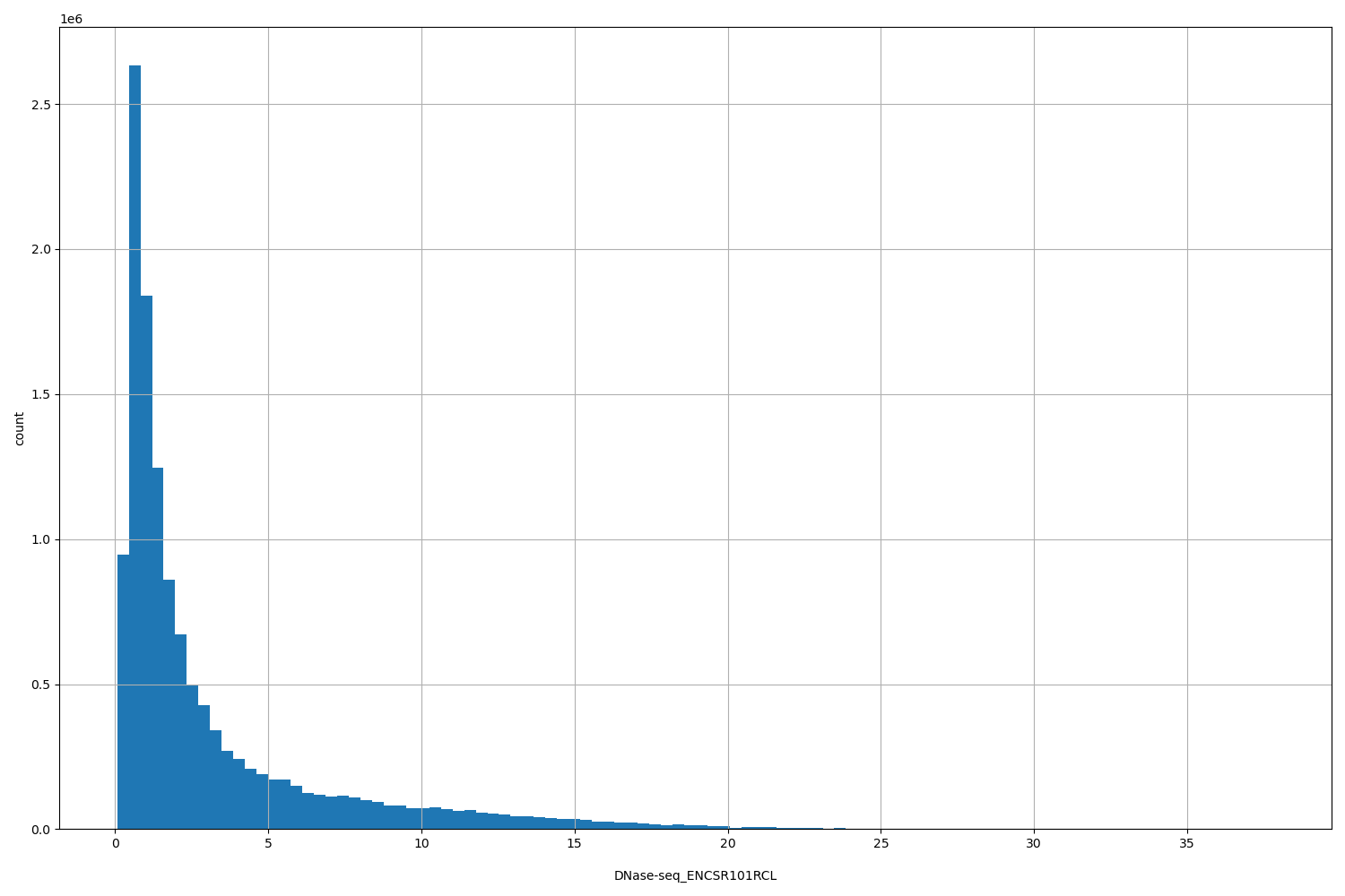
DNase-seq_ENCSR101RCL float

DNase-seq_ENCSR101RCL

DNase-seq ENCSR101RCL [biosample_summary="Homo sapiens T-cell male adult (43 years)"]
HISTOGRAM FOR DNase-seq_ENCSR101RCL [0.0805, 37.8]

Files

Filename Size md5
ENCFF762IIH.bed.gz 642.37 KB f108b82be927fbe89dc9ac739efc02ab
ENCFF762IIH.bed.gz.dvc 100.0 B 91ae92e0fb01ce658f8c8ca0ab5e666a
ENCFF762IIH.tabix.bed.gz 595.08 KB d24a4a0e855594670ff5f6dc820a1325
ENCFF762IIH.tabix.bed.gz.dvc 106.0 B 36e2acc563443a04c843927306d42ee6
ENCFF762IIH.tabix.bed.gz.tbi 251.02 KB d481db9554fc31f7fe3070136b8cb725
ENCFF762IIH.tabix.bed.gz.tbi.dvc 110.0 B 36406213252c0529682e0ce622faf332
genomic_resource.yaml 1.18 KB 8b7d817d103a9fa0a67b1d1a79204706
genomic_resource_original.yaml 1.09 KB 5c752bd5bdca4e7e36474d28be8d42f3
statistics/